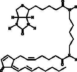
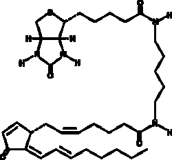
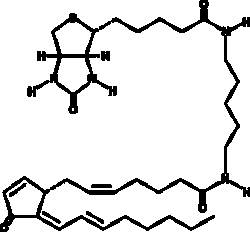
Cayman Chemical 15deoxy12 14Prostaglandin J2
![]()
15-deoxy-Δ12,14-Prostaglandin J2 (15-deoxy-Δ12,14-PGJ2; Item No. 18570) is one of the cyclopentenone PGs, which have documented metabolic (peroxisome proliferator-activated receptor γ-activating), antimitotic, and antiproliferative effects.{410,1349,13037} The activity of the compounds in this class, which includes PGs in both the A- and J-series, may result from changes in gene expression and the interaction with non-classical (i.e., non-G protein-coupled receptor) pathways. 15-deoxy-.DELTA.12,14-PGJ2-biotin is an affinity probe which allows 15-deoxy-.DELTA.12,14-PGJ2 to be detected through an interaction with the biotin ligand. 15-deoxy-.DELTA.12,14-PGJ2-biotin was designed to allow 15-deoxy-.DELTA.12,14-PGJ2 to be detected in complexes with nuclear receptors and/or nucleic acid or protein binding partners. It is thus a tool to be used in the general elucidation of the mechanism of action of the cyclopentenone PGs.