Learn More
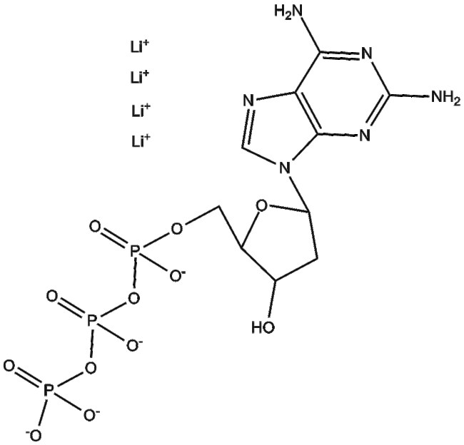
Apexbio Technology LLC 2-Amino-dATP(Synonyms: 2-Amino-2'-deoxyadenosine-5'-triphosphate, 2-Amino-dATP nucleotide), 10ul (100 mM).

Supplier: Apexbio Technology LLC B80790.01
2-Amino-dATP is a synthetic small molecule capable of modulating specific signaling cascades via enzymatic activity interference It exerts biological effects by inhibiting intracellular signal transduction pathways thereby influencing processes such as cellular proliferation and apoptosis as demonstrated in vitro Given its precise biological mechanism this compound serves as an important molecular tool in studying signal regulation and disease-related pathways in biomedical research contexts
By clicking Submit, you acknowledge that you may be contacted by Fisher Scientific in regards to the feedback you have provided in this form. We will not share your information for any other purposes. All contact information provided shall also be maintained in accordance with our Privacy Policy.