Learn More
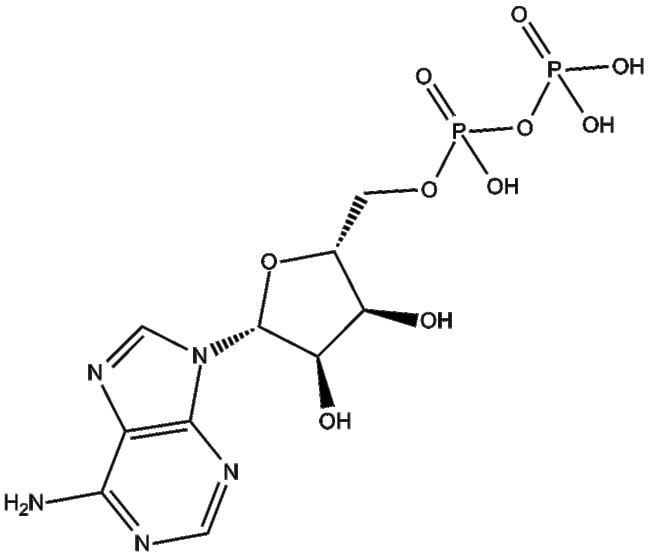
Apexbio Technology LLC Adenosine-5'-diphosphate(Synonyms: ADP, Adenosine diphosphate, 5'-ADP, Adenosine 5'-pyrophosphate), 250mg, CAS: 58-64-0.

Supplier: Apexbio Technology LLC C4341250
Adenosine-5 -diphosphate (CAS 58-64-0) commonly known as ADP is an endogenous nucleotide serving as an agonist of purinergic receptors It activates various P2 receptor subtypes exhibiting an IC50 of 67 nM at P2X2/3 receptors ADP results from ATP hydrolysis mediated by ATPases and can be reconverted to ATP via ATP synthases or further processed to AMP and other metabolites Through receptor modulation ADP influences cellular functions including neural stem cell proliferation vascular response apoptosis cytokine secretion and kinase-driven phosphorylation pathways thus playing a critical role in purinergic signaling research
By clicking Submit, you acknowledge that you may be contacted by Fisher Scientific in regards to the feedback you have provided in this form. We will not share your information for any other purposes. All contact information provided shall also be maintained in accordance with our Privacy Policy.