Learn More
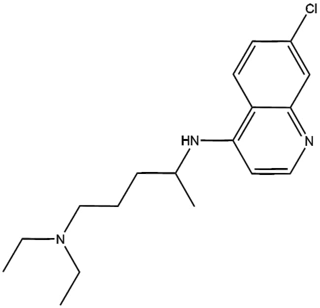
Apexbio Technology LLC Chloroquine 54-05-7 200mg

Supplier: Apexbio Technology LLC BA1002200
Chloroquine (CAS 54-05-7) is a small molecule known for its anti-inflammatory properties and is widely used in biomedical research It functions primarily by inhibiting autophagy through disruption of lysosomal acidification and by modulating Toll-like receptor signaling pathways Chloroquine has demonstrated potent inhibitory effects on infection with reported activity at concentrations as low as 1 13 M Its mechanisms make it a valuable tool for investigating processes related to inflammation immune modulation and host pathogen interactions in cellular and molecular studies
By clicking Submit, you acknowledge that you may be contacted by Fisher Scientific in regards to the feedback you have provided in this form. We will not share your information for any other purposes. All contact information provided shall also be maintained in accordance with our Privacy Policy.