Learn More
Apexbio Technology LLC Dequalinium Chloride 522-51-0 250mg

Supplier: Apexbio Technology LLC B2191250

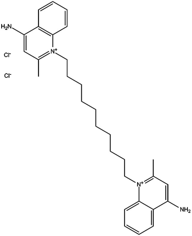
Dequalinium Chloride (CAS 522-51-0) is a small molecule inhibitor known to target protein kinase C (PKC) with reported IC50 values between 7 18 M PKC is a serine/threonine kinase involved in calcium- and lipid-dependent signaling pathways critical for cell growth and transformation Dequalinium Chloride also acts as a selective blocker of apamin-sensitive potassium channels exhibiting an IC50 of 1 1 M and inhibits angiotensin II-induced K loss (IC50 1 5 M) Notably dequalinium accumulates in mitochondria of cancer cells disrupts mitochondrial enzymes and impairs cellular energy production ultimately leading to cell death It has been used in studies of apoptosis mitochondrial function and as an adjunct in tumor models investigating sensitization to agents such as TNF
The Fisher Scientific Encompass Program offers items which are not part of our distribution portfolio. These products typically do not have pictures or detailed descriptions. However, we are committed to improving your shopping experience. Please use the form below to provide feedback related to the content on this product.