Learn More
Apexbio Technology LLC FIIN-2 1633044-56-0 5mg

Supplier: Apexbio Technology LLC A86965
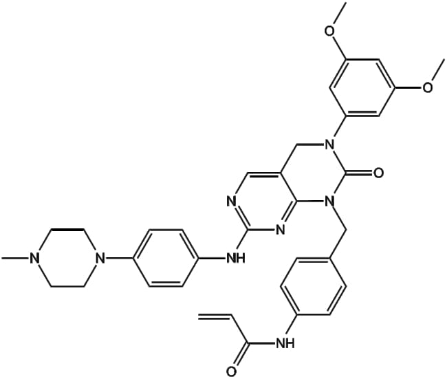
FIIN-2 (CAS 1633044-56-0) is an irreversible inhibitor targeting FGFR1 4 exhibiting IC50 values of 3 1 4 3 27 and 45 nM respectively It binds covalently to the P-loop cysteine particularly Cys491 in FGFR2 and displays moderate inhibition of EGFR (IC50 204 nM) with reduced affinity compared to related compounds FIIN-2 effectively inhibits proliferation of FGFR-dependent Ba/F3 cells showing nanomolar EC50 values and demonstrates potent activity against FGFR2 gatekeeper mutations including V564M and V564F Its selective kinase profile and ability to circumvent resistance mechanisms highlight its value for studying FGFR-driven oncogenic pathways and evaluating strategies for overcoming therapeutic resistance
By clicking Submit, you acknowledge that you may be contacted by Fisher Scientific in regards to the feedback you have provided in this form. We will not share your information for any other purposes. All contact information provided shall also be maintained in accordance with our Privacy Policy.