Learn More
Apexbio Technology LLC FLLL32 1226895-15-3 50mg

Supplier: Apexbio Technology LLC B599950
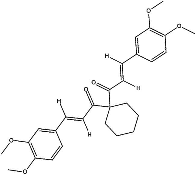
FLLL32 (CAS 1226895-15-3) is a small molecule analog of curcumin that selectively inhibits STAT3 signaling It suppresses the phosphorylation of STAT3 at Tyr705 without affecting phosphorylation at Tyr727 and induces apoptosis in STAT3-positive melanoma cell lines such as A375 with a 48-hour IC50 of 1 3 M In vitro FLLL32 may act directly on STAT3 as it reduces pSTAT3 levels and induces cell death without altering Jak2 phosphorylation at tested concentrations In murine melanoma xenograft models intraperitoneal administration of FLLL32 significantly delays tumor growth FLLL32 serves as a valuable research tool for investigating STAT3-mediated oncogenic pathways and apoptosis
By clicking Submit, you acknowledge that you may be contacted by Fisher Scientific in regards to the feedback you have provided in this form. We will not share your information for any other purposes. All contact information provided shall also be maintained in accordance with our Privacy Policy.