Learn More
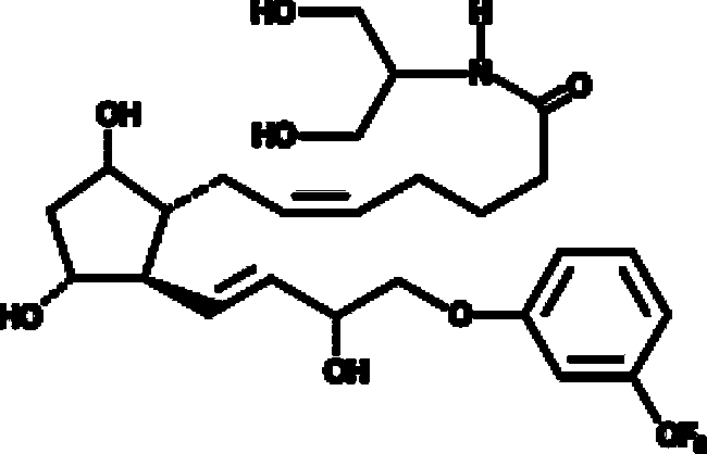
Cayman Chemical Fluprostenol serinol amide

Supplier: Cayman Chemical 100042361 MG
An analog of PGF2α 2-glyceryl ester with increased stability
By clicking Submit, you acknowledge that you may be contacted by Fisher Scientific in regards to the feedback you have provided in this form. We will not share your information for any other purposes. All contact information provided shall also be maintained in accordance with our Privacy Policy.