Learn More
Apexbio Technology LLC Ginsenoside Re 52286-59-6 20mg

Supplier: Apexbio Technology LLC N161520
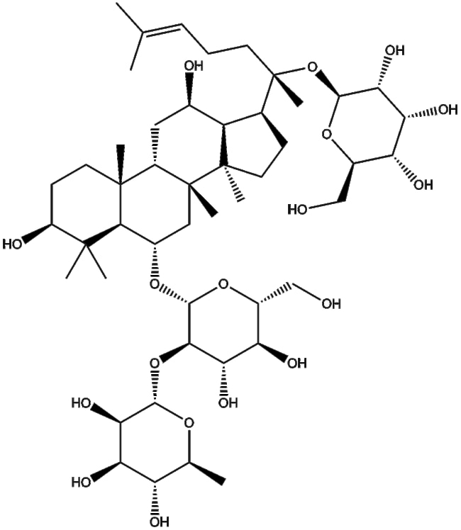
Ginsenoside Re (CAS 52286-59-6) is a natural saponin isolated from Panax notoginseng In neurobiological research it has been shown to reduce -amyloid (A ) levels and inhibit the c-Jun N-terminal kinase (JNK) signaling pathway as well as the activity of the NF- B transcription factor These properties implicate Ginsenoside Re in the modulation of neuroinflammatory and neurodegenerative processes The compound is commonly utilized in experimental models to investigate the molecular mechanisms underlying Alzheimer s disease neurodegeneration and inflammatory signaling pathways
By clicking Submit, you acknowledge that you may be contacted by Fisher Scientific in regards to the feedback you have provided in this form. We will not share your information for any other purposes. All contact information provided shall also be maintained in accordance with our Privacy Policy.