Learn More
Apexbio Technology LLC GZD824 1421783-64-3 5mg

Supplier: Apexbio Technology LLC B14025

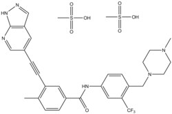
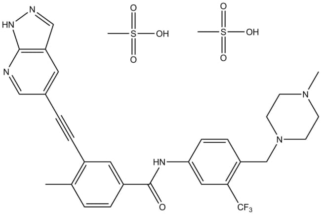
GZD824 (CAS 1421783-64-3) is an orally bioavailable inhibitor of the Bcr-Abl kinase a fusion protein exhibiting tyrosine kinase activity involved in regulating cell cycle progression and genomic stability GZD824 binds competitively to the ATP-binding site of Abl kinase effectively inhibiting the phosphorylation and activation of both wild-type (WT) and resistant mutant forms (e g T315I E255K G250E Q252H H396P M351T and Y253F) GZD824 demonstrates sub-nanomolar IC50 values and substantially reduces proliferation in Bcr-Abl-expressing Ba/F3 cell models Preclinical studies in mouse xenograft leukemia models show GZD824 suppresses tumor growth highlighting its potential applicability in research into resistance mechanisms and targeted leukemia therapies
The Fisher Scientific Encompass Program offers items which are not part of our distribution portfolio. These products typically do not have pictures or detailed descriptions. However, we are committed to improving your shopping experience. Please use the form below to provide feedback related to the content on this product.