Learn More
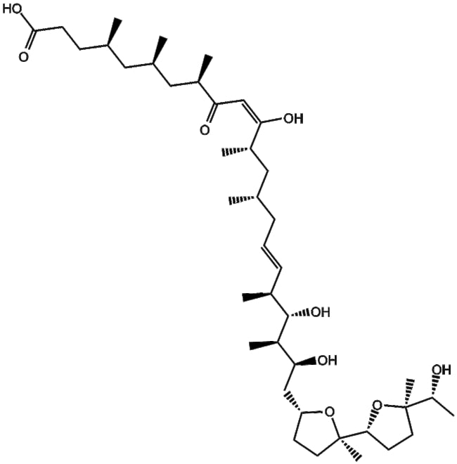
Apexbio Technology LLC Ionomycin free acid(Synonyms: Ionomycin (free acid), Antibiotic SQ 23377, SQ 23377, Calcium ionophore ionomycin), 25mg, CAS: 56092-81-0.

Supplier: Apexbio Technology LLC B694725
Ionomycin free acid (CAS 56092-81-0) is a selective calcium ionophore functioning by mediating Ca transport across biological membranes It forms complexes with calcium ions facilitating their passage through lipid bilayers and increasing intracellular Ca concentrations In vitro studies demonstrate its capacity to transfer calcium ions from aqueous to organic phases highlighting its ion carrier function In vivo experiments indicate ionomycin effectively activates mammalian oocytes promoting subsequent embryonic development Clinical research has employed ionomycin to assess improvements in fertilization outcomes for patients with decreased ovarian reserves
By clicking Submit, you acknowledge that you may be contacted by Fisher Scientific in regards to the feedback you have provided in this form. We will not share your information for any other purposes. All contact information provided shall also be maintained in accordance with our Privacy Policy.