Learn More
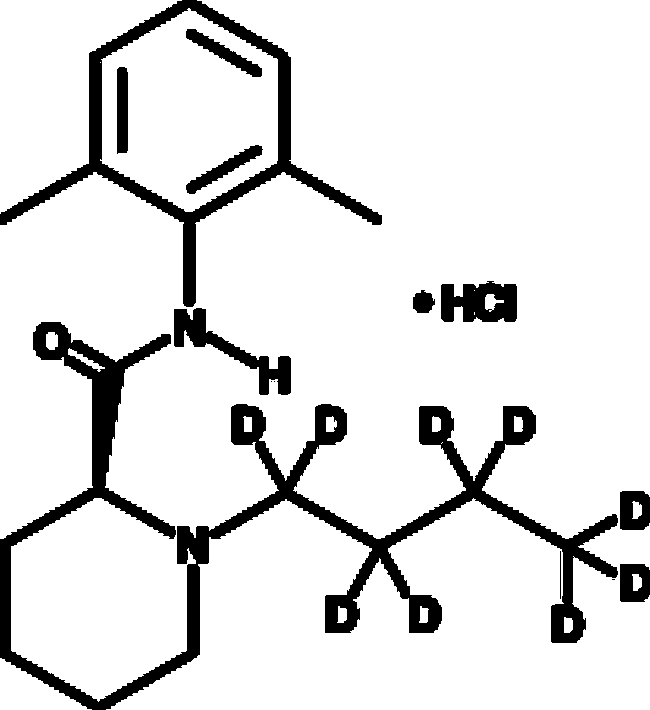
Cayman Chemical LevobupIvacaInd9hydrochlo 10mg

Supplier: Cayman Chemical 3890410 MG

A building block has been used in the synthesis of MC3R agonists and antimicrobial peptidomimetics
The Fisher Scientific Encompass Program offers items which are not part of our distribution portfolio. These products typically do not have pictures or detailed descriptions. However, we are committed to improving your shopping experience. Please use the form below to provide feedback related to the content on this product.