Promotional price valid on web orders only. Your contract pricing may differ. Interested in signing up for a dedicated account number?
Learn More

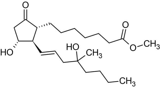
Abcam Misoprostol, Cytoprotective PGE2 analog, 1MG

Supplier:  Abcam AB1209021MG

Encompass_Preferred

MW 382.54 g/mol, Purity >98%. Cytoprotective PGE₂ analog with activity mediated by EP₂, EP₃, and EP₄ receptors (Ki values are 250, 67 and 67 nM, respectively).

The product is subject to the following: Abcam Restricted Use Statement

Catalog No. 50-270-7147


May include imposed supplier surcharges.
Only null left
Add to Cart

Product Title
Select an issue

By clicking Submit, you acknowledge that you may be contacted by Fisher Scientific in regards to the feedback you have provided in this form. We will not share your information for any other purposes. All contact information provided shall also be maintained in accordance with our Privacy Policy.