Learn More
Apexbio Technology LLC ML 228 1357171-62-0 10mg

Supplier: Apexbio Technology LLC A450810
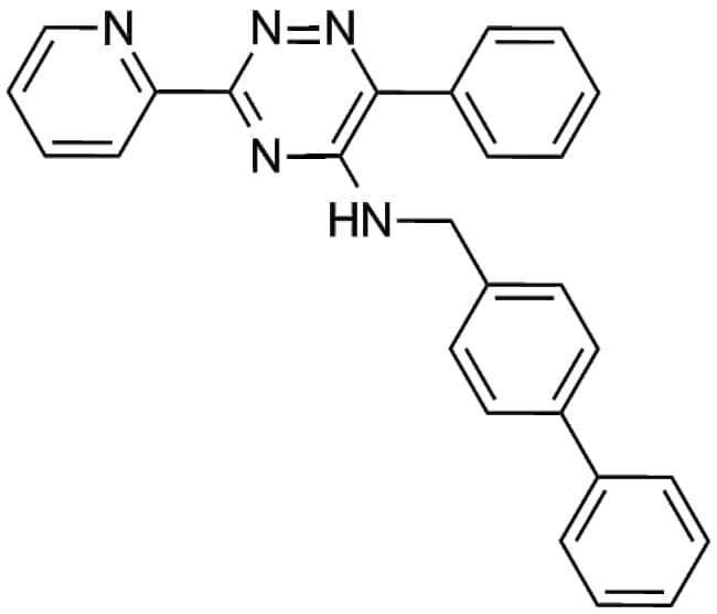
ML 228 (CAS 1357171-62-0) is a small molecule that stimulates the hypoxia-inducible factor (HIF) signaling pathway by chelating iron through a mechanism independent of prolyl hydroxylase domain (PHD) enzymes It enhances HIF pathway activity with EC sub 50 /sub values of 1 23 M in HRE gene reporter assays and 1 4 M for HIF-1 nuclear translocation At 10 M ML 228 also demonstrates greater than 80% inhibition of the human A sub 3 /sub adenosine receptor dopamine transporter opioid receptor hERG channel 5-HT sub 2B /sub receptor and rat sodium channel site 2 ML 228 is valuable for studies investigating HIF pathway regulation hypoxia response and off-target pharmacological profiling in cellular models
By clicking Submit, you acknowledge that you may be contacted by Fisher Scientific in regards to the feedback you have provided in this form. We will not share your information for any other purposes. All contact information provided shall also be maintained in accordance with our Privacy Policy.