Learn More
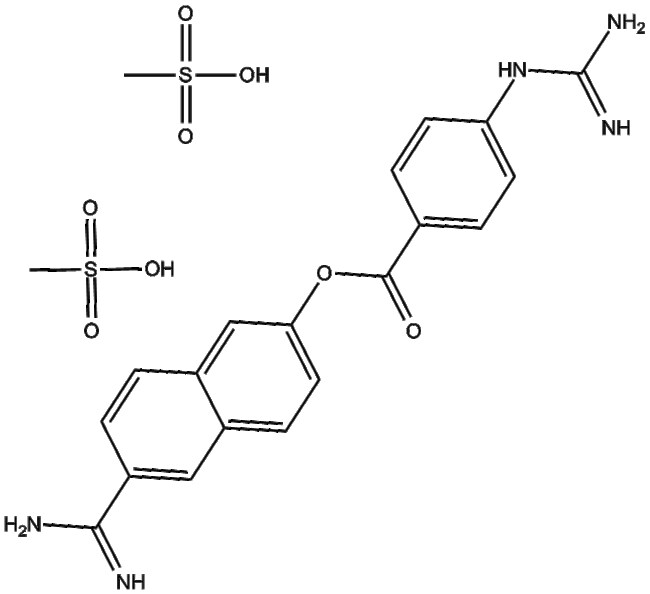
Apexbio Technology LLC Nafamostat Mesylate(FUT-175) 82956-11-4 10mM (in 1mL H2O)

Supplier: Apexbio Technology LLC A25865.1
Nafamostat Mesylate (FUT-175) is a serine protease inhibitor originally identified for its inhibitory activity on complement activation pathways Mechanistically it effectively targets multiple serine proteases involved in the coagulation cascade including trypsin thereby interfering with protease-mediated signaling processes It shows inhibitory activity against human trypsin-catalyzed hydrolysis of Boc-Phe-Ser-Arg-MCA substrate with a reported Ki value of 95 3 pM Nafamostat Mesylate has been investigated extensively in experimental models related to inflammatory responses such as acute pancreatitis and conditions associated with disseminated intravascular coagulation (DIC) Moreover recent studies indicate dose-dependent antibacterial activity in vitro particularly against intracellular pathogens like Chlamydia
By clicking Submit, you acknowledge that you may be contacted by Fisher Scientific in regards to the feedback you have provided in this form. We will not share your information for any other purposes. All contact information provided shall also be maintained in accordance with our Privacy Policy.