Learn More
Apexbio Technology LLC Nitrocefin 41906-86-9 10mg

Supplier: Apexbio Technology LLC B605210
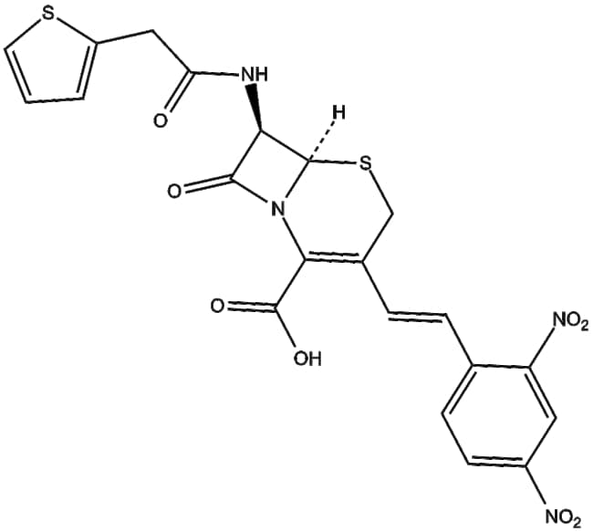
Nitrocefin is a chromogenic cephalosporin substrate commonly employed in biochemical assays to detect -lactamase enzymatic activity -lactamases enzymes prevalent in microbial species catalyze the hydrolysis of -lactam antibiotics such as penicillins and cephalosporins causing antibiotic resistance Upon cleavage by -lactamase enzymes nitrocefin undergoes a measurable colorimetric shift from yellow to red enabling visual or spectrophotometric detection in the range of approximately 380 500 nm Nitrocefin prominently serves in microbiological and clinical research to evaluate resistance profiles of bacterial isolates and in assays for inhibitor activity toward -lactamases Its reported IC50 varies depending on -lactamase type concentration and assay conditions with typical values ranging from approximately 0 5 to 25 M
By clicking Submit, you acknowledge that you may be contacted by Fisher Scientific in regards to the feedback you have provided in this form. We will not share your information for any other purposes. All contact information provided shall also be maintained in accordance with our Privacy Policy.