Learn More
Apexbio Technology LLC Pravastatin 81093-37-0 10mg

Supplier: Apexbio Technology LLC B112510
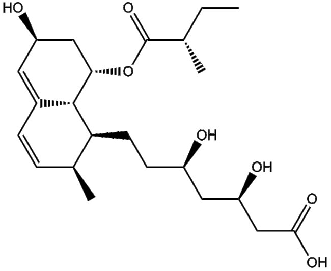
Pravastatin (CAS 81093-37-0) is a small molecule inhibitor of 3-hydroxy-3-methyl-glutaryl-coenzyme A (HMG-CoA) reductase the rate-limiting enzyme in the mevalonate pathway of cholesterol biosynthesis It exhibits an inhibitory concentration (IC50) of 5 6 M against sterol synthesis Pravastatin is widely utilized in biomedical research to investigate cholesterol metabolism the regulation of lipid pathways and the physiological and pathological roles of HMG-CoA reductase inhibition Its application supports studies on cardiovascular disease models and the broader implications of statin-mediated modulation of cellular cholesterol homeostasis
By clicking Submit, you acknowledge that you may be contacted by Fisher Scientific in regards to the feedback you have provided in this form. We will not share your information for any other purposes. All contact information provided shall also be maintained in accordance with our Privacy Policy.