Promotional price valid on web orders only. Your contract pricing may differ. Interested in signing up for a dedicated account number?
Learn More

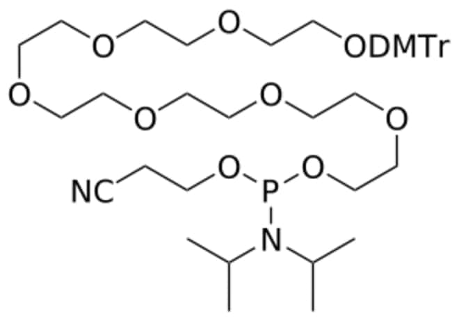
STA PHARMACEUTICAL US LLC DMTr PEG7 amidite | 5 g | CAS 165682-45-1 | InChIKey ZEMYDSDLDZPUBS-UHFFFAOYSA-N

Supplier:  STA PHARMACEUTICAL US LLC STAAM10825MM2505GM

Encompass

DMTr PEG7 amidite is a Amidite reagent (Subcategory: Spacer Modifiers) sold by WuXi TIDES. Offered in 5 g. Store at -20 °C. Ships on dry ice. SDS available for reference.

Specifications
- CAS: 165682-45-1
- MDL: No data
- InChIKey: ZEMYDSDLDZPUBS-UHFFFAOYSA-N
- Molecular Weight: 828.980761998
- Molecular Formula: C44H65N2O11P
- Purity: ≥95%
- Container Type: 250 mL Glass (28-400)
- Pack Size: 5 g
- Net Weight: 5 g
- Gross Weight: 174.7 g
- Commodity Code: 29299090
- Country Of Origin: China
- IUPAC: 1,1-bis(4-methoxyphenyl)-1-phenyl-2,5,8,11,14,17,20-heptaoxadocosan-22-yl (2-cyanoethyl) diisopropylphosphoramidite
- SMILES: CC(C)N(C(C)C)P(OCCC#N)OCCOCCOCCOCCOCCOCCOCCOC(C1=CC=C(C=C1)OC)(C2=CC=C(C=C2)OC)C3=CC=CC=C3

Catalog No. 50-286-0305


May include imposed supplier surcharges.
Only null left
Add to Cart

Product Title
Select an issue

By clicking Submit, you acknowledge that you may be contacted by Fisher Scientific in regards to the feedback you have provided in this form. We will not share your information for any other purposes. All contact information provided shall also be maintained in accordance with our Privacy Policy.