Learn More
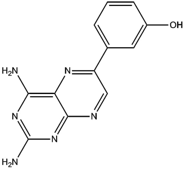
Apexbio Technology LLC TG100713 925705-73-3 5mg

Supplier: Apexbio Technology LLC B21775
TG100713 (CAS 925705-73-3) is a small-molecule pan-PI3K inhibitor targeting the PI3K PI3K PI3K and PI3K isoforms with IC50 values of 50 nM 24 nM 165 nM and 215 nM respectively By inhibiting pro-inflammatory PI3K and PI3K subtypes TG100713 is utilized in biomedical research to study the modulation of inflammatory responses and tissue injury associated with ischemia/reperfusion such as in myocardial infarction Studies have shown that TG100713 displays high conformational flexibility which correlates with broad isoform activity and minimal subtype selectivity This compound is valuable for investigating PI3K-driven signaling pathways and therapeutic strategies to limit tissue damage following ischemic events
By clicking Submit, you acknowledge that you may be contacted by Fisher Scientific in regards to the feedback you have provided in this form. We will not share your information for any other purposes. All contact information provided shall also be maintained in accordance with our Privacy Policy.