UserName
Choose the brand aligned with your industry so we can best serve your needs.
For researchers, scientists, and technical professionals: Your one-stop shop for the complete range of laboratory, production, and safety products and services.
For healthcare professionals: Your proven destination for comprehensive diagnostic and clinical laboratory products and services.
An internal standard for the quantification of 9(10)-DiHOME by GC- or LC-MS
Ambeed / 57-Dihydroxy-2-(4-hydroxyphenyl)chroman-4-one / 5g / 490507485 / A136202 / / 67604-48-2 / MFCD00006844 / 272.256 / C15H12O5
Pharmablock / 4-methyl-1H-pyrrolo[32-c]pyridine / 25mg / 594229625 / PBLJ8022 / 0.000 / 860362-26-1 / MFCD11869970 / 132.166 / C8H8N2
Ambeed / 1-(4-(Trifluoromethyl)phenyl)propan-1-ol / 250mg / 528951759 / A100189 / / 67081-98-5 / MFCD07773046 / 204.192 / C10H11F3O
Ambeed / Pyrazolo[15-a]pyrimidin-5(1H)-one / 250mg / 552679389 / A257427 / / 1027534-43-5 / MFCD27989151 / 135.126 / C6H5N3O
Ambeed / 6-Methoxy-2-(((4-methoxy-35-dimethylpyridin-2-yl)methyl)sulfinyl)-1H-benzo[d]imidazole / 5g / 552732388 / A449839 / / 73590-58-6 / MFCD05662029 / 345.420 / C17H19N3O3S
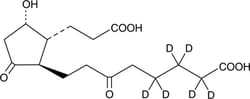
An internal standard for the quantification of latanoprost by GC- or LC-mass spectrometry (MS).
An internal standard for the quantification of (±)14(15)-EET by GC- or LC-MS
Ambeed / 57-Dimethyl-1H-imidazo[45-b]pyridine / 50mg / 624121684 / A735819 / / 116599-55-4 / MFCD12546419 / 147.181 / C8H9N3
Pharmablock / 7-methyl-1H-pyrrolo[32-b]pyridine / 25mg / 586139017 / PB03613 / 0.000 / 357263-42-4 / MFCD11845514 / 132.166 / C8H8N2
5000398464 SUBSTANCE P 5-11 10MG
5000399361 SUBSTANCE P 3-11 10MG
5000417091 CAMPHOR 10MM 1ML
5000423165 SAR9 SUBSTANCE P 5MG