Choose the brand aligned with your industry so we can best serve your needs.
For researchers, scientists, and technical professionals: Your one-stop shop for the complete range of laboratory, production, and safety products and services.
Organic heterocyclic compounds and derivatives that consist of a ureido ring and a tetrahydrothiophene ring; ureido contains the radical: NH2CONH−, and tetrahydrothiophene is a five-membered ring consisting of four carbon atoms and a sulfur atom.
Filtered Search Results
Products from some of our suppliers do not display in filtered search results. Please
clear all filters
to see these products.
Small and Specialty Supplier Partner Small and/or specialty supplier based on Federal laws and SBA requirements. Learn More
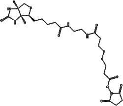
NHS-SS-11-Biotin (CAS 142439-92-7) is an amine-reactive biotinylation reagent commonly used in biochemical research Structurally it possesses an N-hydroxysuccinimide (NHS) ester group that covalently reacts with primary amines of target proteins or biomolecules forming stable amide bonds and releasing sulfo-NHS This reagent features a cleavable disulfide linker and an extended spacer arm of approximately 24 3 enhancing probe accessibility to avidin or streptavidin conjugates It is utilized extensively for reversible biotinylation affinity purification or labeling studies in proteomics and cell biology applications
Encompass Procurement Services Non-distribution item offered as a customer accommodation; additional freight charges may apply. Learn More
Small and Specialty Supplier Partner Small and/or specialty supplier based on Federal laws and SBA requirements. Learn More
NHS-SS-11-Biotin (CAS 142439-92-7) is an amine-reactive biotinylation reagent commonly used in biochemical research Structurally it possesses an N-hydroxysuccinimide (NHS) ester group that covalently reacts with primary amines of target proteins or biomolecules forming stable amide bonds and releasing sulfo-NHS This reagent features a cleavable disulfide linker and an extended spacer arm of approximately 24 3 enhancing probe accessibility to avidin or streptavidin conjugates It is utilized extensively for reversible biotinylation affinity purification or labeling studies in proteomics and cell biology applications
Encompass Procurement Services Non-distribution item offered as a customer accommodation; additional freight charges may apply. Learn More
Small and Specialty Supplier Partner Small and/or specialty supplier based on Federal laws and SBA requirements. Learn More
NHS-SS-11-Biotin (CAS 142439-92-7) is an amine-reactive biotinylation reagent commonly used in biochemical research Structurally it possesses an N-hydroxysuccinimide (NHS) ester group that covalently reacts with primary amines of target proteins or biomolecules forming stable amide bonds and releasing sulfo-NHS This reagent features a cleavable disulfide linker and an extended spacer arm of approximately 24 3 enhancing probe accessibility to avidin or streptavidin conjugates It is utilized extensively for reversible biotinylation affinity purification or labeling studies in proteomics and cell biology applications
Encompass Procurement Services Non-distribution item offered as a customer accommodation; additional freight charges may apply. Learn More
Small and Specialty Supplier Partner Small and/or specialty supplier based on Federal laws and SBA requirements. Learn More
NHS-SS-11-Biotin (CAS 142439-92-7) is an amine-reactive biotinylation reagent commonly used in biochemical research Structurally it possesses an N-hydroxysuccinimide (NHS) ester group that covalently reacts with primary amines of target proteins or biomolecules forming stable amide bonds and releasing sulfo-NHS This reagent features a cleavable disulfide linker and an extended spacer arm of approximately 24 3 enhancing probe accessibility to avidin or streptavidin conjugates It is utilized extensively for reversible biotinylation affinity purification or labeling studies in proteomics and cell biology applications
Encompass Procurement Services Non-distribution item offered as a customer accommodation; additional freight charges may apply. Learn More