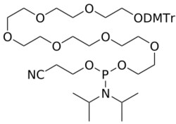
DMTr PEG7 amidite is a Amidite reagent (Subcategory: Spacer Modifiers) sold by WuXi TIDES. Offered in 5 g. Store at -20 °C. Ships on dry ice. SDS available for reference.
Specifications
- CAS: 165682-45-1
- MDL: No data
- InChIKey: ZEMYDSDLDZPUBS-UHFFFAOYSA-N
- Molecular Weight: 828.980761998
- Molecular Formula: C44H65N2O11P
- Purity: ≥95%
- Container Type: 250 mL Glass (28-400)
- Pack Size: 5 g
- Net Weight: 5 g
- Gross Weight: 174.7 g
- Commodity Code: 29299090
- Country Of Origin: China
- IUPAC: 1,1-bis(4-methoxyphenyl)-1-phenyl-2,5,8,11,14,17,20-heptaoxadocosan-22-yl (2-cyanoethyl) diisopropylphosphoramidite
- SMILES: CC(C)N(C(C)C)P(OCCC#N)OCCOCCOCCOCCOCCOCCOCCOC(C1=CC=C(C=C1)OC)(C2=CC=C(C=C2)OC)C3=CC=CC=C3