Learn More
Apexbio Technology LLC 2'-O-Methyl-2-Amino-ATP 50ul (100 mM)

Supplier: Apexbio Technology LLC B79920.05
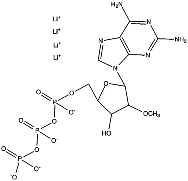
2p-O-Methyl-2-Amino-ATP is a modified nucleoside triphosphate incorporating methylation at the ribose 2 -hydroxyl group and an amino substitution at the 2 position of the adenine base It is designed to alter nucleotide biochemical properties impacting RNA stability and structure upon enzymatic incorporation In in vitro transcription assays 2p-O-Methyl-2-Amino-ATP demonstrates an ability to increase RNA resistance to exonuclease-mediated degradation and induce altered RNA secondary structures Based on these properties 2p-O-Methyl-2-Amino-ATP holds research potential in studies of RNA folding dynamics stability assays RNA-protein interactions and analyses involving chemically modified RNA in biomedical research
By clicking Submit, you acknowledge that you may be contacted by Fisher Scientific in regards to the feedback you have provided in this form. We will not share your information for any other purposes. All contact information provided shall also be maintained in accordance with our Privacy Policy.