Learn More
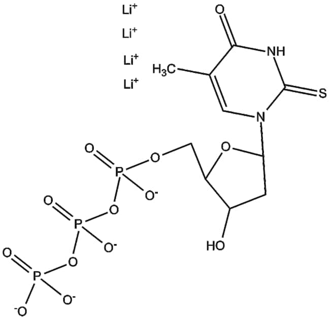
Apexbio Technology LLC 2-Thio-dTTP(Synonyms: 2-Thio-2'-deoxythymidine-5'-triphosphate, 2-Thio-dTTP, 2-Thio-thymidine-5'-triphosphate), 100ul (100 mM).

Supplier: Apexbio Technology LLC B81000.1
2-Thio-dTTP (2-thio-2 -deoxythymidine-5 -triphosphate) is a modified nucleotide analog in which the 2-position oxygen atom of thymine is substituted by sulfur Incorporation of this modified nucleotide during DNA synthesis can influence DNA-protein interactions and alter nucleic acid stability It is commonly utilized in molecular biology studies involving DNA replication fidelity mutagenesis and structural analyses of nucleic acids Due to the sulfur substitution 2-Thio-dTTP finds applications in biochemical assays and DNA sequencing methodologies
By clicking Submit, you acknowledge that you may be contacted by Fisher Scientific in regards to the feedback you have provided in this form. We will not share your information for any other purposes. All contact information provided shall also be maintained in accordance with our Privacy Policy.