Learn More
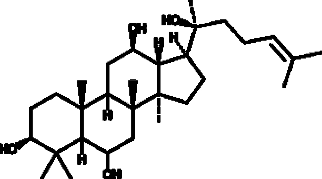
Cayman Chemical 20 S-ProtopnaxatrIol 10mg

Supplier: Cayman Chemical 2907310 MG
An active ginsenoside metabolite; cytotoxic to HL-60 cancer cells (IC50 = 16 µM); inhibits the proliferation of HUVECs (EC50 = 6.64 UG/ml); blocks LPS-induced increases in the protein levels of COX-2 and iNOS and decreases LPS-induced NF-κB activity in RAW 264.7 cells from 1-20 µM
By clicking Submit, you acknowledge that you may be contacted by Fisher Scientific in regards to the feedback you have provided in this form. We will not share your information for any other purposes. All contact information provided shall also be maintained in accordance with our Privacy Policy.