Learn More
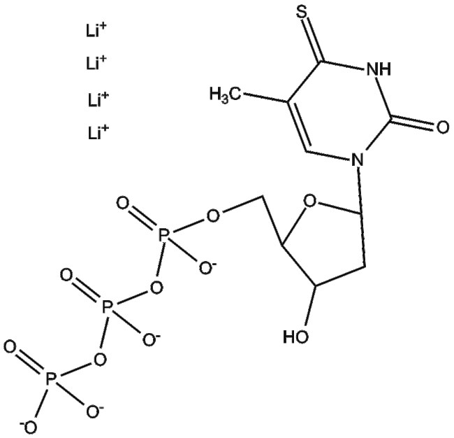
Apexbio Technology LLC 4-Thio-dTTP 10ul (100 mM)

Supplier: Apexbio Technology LLC B81030.01
4-Thio-dTTP is a nucleotide analog structurally similar to thymidine triphosphate (dTTP) It incorporates into DNA strands during enzymatic synthesis modifying nucleic acid interactions and affecting the activities of enzymes involved in DNA replication and repair 4-Thio-dTTP exerts its biological activity through incorporation into DNA enabling the study of DNA polymerase fidelity replication kinetics enzyme-substrate interactions and mechanisms of DNA damage responses Based on these biochemical properties 4-Thio-dTTP holds research potential in applications such as investigating DNA synthesis regulation enzymatic mechanisms and pathways related to cancer and genomic instability
By clicking Submit, you acknowledge that you may be contacted by Fisher Scientific in regards to the feedback you have provided in this form. We will not share your information for any other purposes. All contact information provided shall also be maintained in accordance with our Privacy Policy.