Learn More
Apexbio Technology LLC 4-Thio-dTTP 50ul (100 mM)

Supplier: Apexbio Technology LLC B81030.05
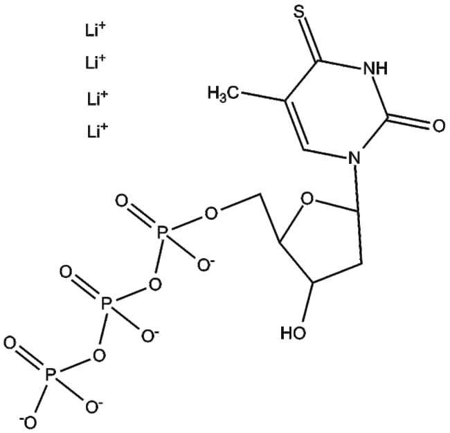
4-Thio-dTTP is a nucleotide analog structurally similar to thymidine triphosphate (dTTP) It incorporates into DNA strands during enzymatic synthesis modifying nucleic acid interactions and affecting the activities of enzymes involved in DNA replication and repair 4-Thio-dTTP exerts its biological activity through incorporation into DNA enabling the study of DNA polymerase fidelity replication kinetics enzyme-substrate interactions and mechanisms of DNA damage responses Based on these biochemical properties 4-Thio-dTTP holds research potential in applications such as investigating DNA synthesis regulation enzymatic mechanisms and pathways related to cancer and genomic instability
The Fisher Scientific Encompass Program offers items which are not part of our distribution portfolio. These products typically do not have pictures or detailed descriptions. However, we are committed to improving your shopping experience. Please use the form below to provide feedback related to the content on this product.