Learn More
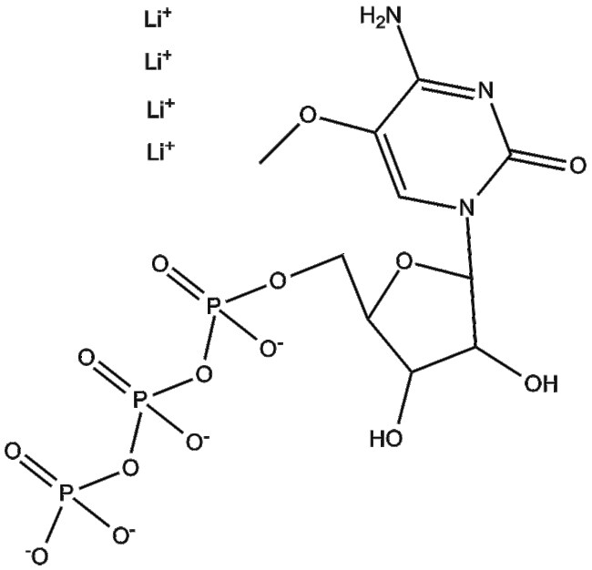
Apexbio Technology LLC 5-Methoxy-CTP(Synonyms: 5-Methoxycytidine triphosphate, 5-Methoxy-CTP, 5-MeO-CTP, 5-Methoxy Cytidine-5'-triphosphate), 50ul (100 mM).

Supplier: Apexbio Technology LLC B80620.05
5-Methoxy-CTP is a chemically modified cytidine triphosphate analog characterized by a methoxy group substitution at position 5 of the cytosine ring During in vitro transcription it can be enzymatically incorporated into synthesized RNA resulting in RNAs containing 5-methoxy-modified cytidine residues This methoxy substitution influences RNA chemical properties alters its structural characteristics and enhances resistance against intracellular nucleolytic degradation Consequently 5-Methoxy-CTP is valuable for investigating RNA structural dynamics RNA-protein interactions and RNA functional roles and it holds potential utility in RNA-based therapeutics functional genomics research and gene therapy approaches
By clicking Submit, you acknowledge that you may be contacted by Fisher Scientific in regards to the feedback you have provided in this form. We will not share your information for any other purposes. All contact information provided shall also be maintained in accordance with our Privacy Policy.