Learn More
Apexbio Technology LLC Amlodipine 88150-42-9 1g

Supplier: Apexbio Technology LLC B14101000

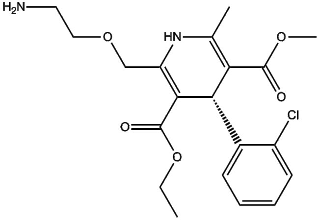
Amlodipine (CAS 88150-42-9) is a dihydropyridine-based small molecule that functions as a long-acting calcium channel blocker It selectively inhibits L-type calcium channels on vascular smooth muscle and cardiac myocytes thereby reducing intracellular calcium influx This action leads to vasodilation and decreased vascular resistance Amlodipine is widely utilized in biomedical research to investigate calcium signaling pathways vascular tone modulation and cardiovascular pharmacology Its mechanistic profile also makes it a reference compound in studies evaluating novel antihypertensive or vasodilatory agents
The Fisher Scientific Encompass Program offers items which are not part of our distribution portfolio. These products typically do not have pictures or detailed descriptions. However, we are committed to improving your shopping experience. Please use the form below to provide feedback related to the content on this product.