Learn More
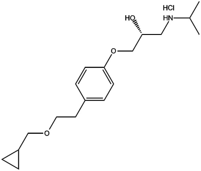
Apexbio Technology LLC Betaxolol HCl 63659-19-8 10mM (in 1mL DMSO)

Supplier: Apexbio Technology LLC B13535.1
Betaxolol HCl (CAS 63659-19-8) is a selective inhibitor targeting the adrenergic receptor It demonstrates antagonist activity by competitively binding and inhibiting this receptor subtype which plays a significant role in cardiovascular regulation Betaxolol exhibits an IC value of approximately 6 M indicative of moderate inhibitory potency In biomedical research betaxolol serves as a pharmacological tool to investigate receptor signaling pathways and their involvement in conditions such as hypertension arrhythmias and cardiovascular disorders
By clicking Submit, you acknowledge that you may be contacted by Fisher Scientific in regards to the feedback you have provided in this form. We will not share your information for any other purposes. All contact information provided shall also be maintained in accordance with our Privacy Policy.