Learn More
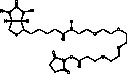
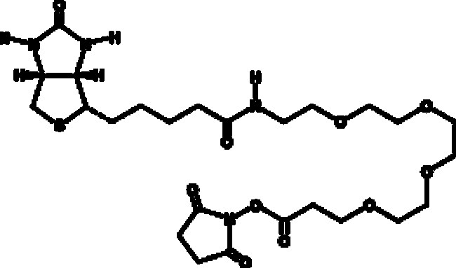
Cayman Chemical BIotIn-PEG4-NHS 50mg

Supplier: Cayman Chemical 2911450 MG
A truncated form of adrenomedullin induces nitric oxide-dependent relaxation of and inhibits release of angiotensin II and endothelin-1 from isolated rat aorta decreases MAP in spontaneously and renal hypertensive rats reverses U-46619-induced increases in lobar arterial pressure in cats (10-3000 ng per animal) potentiates inflammatory edema and neutrophil accumulation in rats
The Fisher Scientific Encompass Program offers items which are not part of our distribution portfolio. These products typically do not have pictures or detailed descriptions. However, we are committed to improving your shopping experience. Please use the form below to provide feedback related to the content on this product.