Learn More
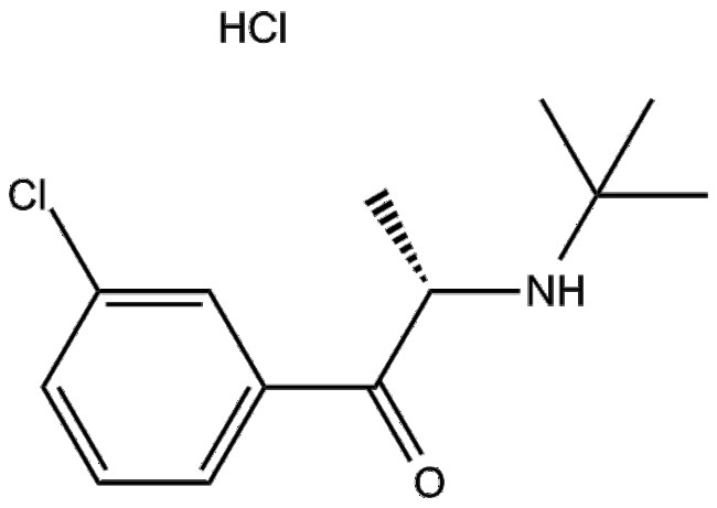
Apexbio Technology LLC Bupropion hydrochloride 31677-93-7 50mg

Supplier: Apexbio Technology LLC B332650
Bupropion hydrochloride (CAS 31677-93-7) is a small-molecule aminoketone that acts as a dual inhibitor of norepinephrine and dopamine reuptake with IC values of 6 5 0 6 M and 3 4 0 4 M respectively It is widely utilized in research for its established roles in modulating monoaminergic neurotransmission associated with depression and smoking cessation In cellular studies bupropion hydrochloride has been shown to decrease cell viability in SH-SY5Y neuroblastoma cells selectively induce endoplasmic reticulum stress and activate JNK pathways leading to caspase 3-dependent apoptosis Additionally it has been reported to downregulate tyrosine hydroxylase expression impacting dopamine biosynthesis
By clicking Submit, you acknowledge that you may be contacted by Fisher Scientific in regards to the feedback you have provided in this form. We will not share your information for any other purposes. All contact information provided shall also be maintained in accordance with our Privacy Policy.