Learn More
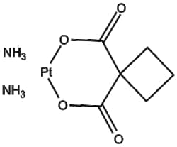
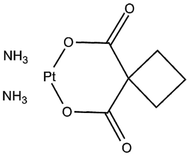
Apexbio Technology LLC Carboplatin 41575-94-4 200mg

Supplier: Apexbio Technology LLC A2171200
Carboplatin (CAS 41575-94-4) is a small molecule inhibitor of DNA synthesis It exerts its antiproliferative activity by binding to DNA thereby hindering DNA synthesis and impairing DNA repair pathways In cell proliferation assays carboplatin inhibits growth of human ovarian carcinoma cell lines A2780 SKOV-3 IGROV-1 and HX62 with IC50 values of 6 2 12 4 2 2 and 116 M respectively Carboplatin shows antiproliferative effects on lung cancer cell lines UMC-11 H727 and H835 and demonstrates antitumor activity in xenograft mouse models Carboplatin is commonly used in preclinical oncology research
By clicking Submit, you acknowledge that you may be contacted by Fisher Scientific in regards to the feedback you have provided in this form. We will not share your information for any other purposes. All contact information provided shall also be maintained in accordance with our Privacy Policy.