Learn More
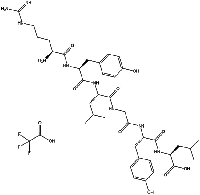
Apexbio Technology LLC α-Casein (90-95) TFA 1mg

Supplier: Apexbio Technology LLC A90691
alpha-Casein 90-95 TFA is a peptide fragment derived from bovine -casein It is used as a defined substrate or competitor peptide to investigate protein-protein interactions receptor binding specificity and enzymatic activity assays alpha-Casein 90-95 TFA exerts its biological activity primarily by serving as a tool in studies of signal transduction pathways mediated by protein kinases or regulatory enzymes Based on these properties alpha-Casein 90-95 TFA holds research potential in biochemical and biomedical research including studies of protein interactions immunological assays for antigen recognition and antibody affinity and pharmacological research involving receptor-ligand interactions and peptidomimetic screening
By clicking Submit, you acknowledge that you may be contacted by Fisher Scientific in regards to the feedback you have provided in this form. We will not share your information for any other purposes. All contact information provided shall also be maintained in accordance with our Privacy Policy.