Learn More
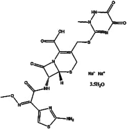
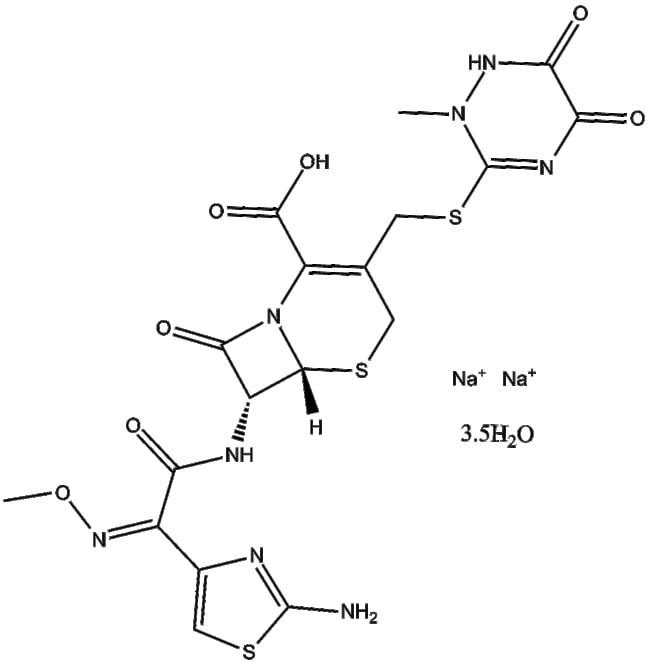
Apexbio Technology LLC Ceftriaxone Sodium Trihydrate 104376-79-6 10mM (in 1mL DMSO)

Supplier: Apexbio Technology LLC B16915.1

Ceftriaxone Sodium Trihydrate (104376-79-6) is a small-molecule inhibitor targeting penicillin-binding proteins (PBPs) It is designed to inhibit PBPs thereby disrupting peptidoglycan cross-link formation and compromising bacterial cell wall biosynthesis Ceftriaxone Sodium Trihydrate exerts its biological activity primarily through inhibition of bacterial cell wall synthesis In in vitro studies Ceftriaxone Sodium Trihydrate demonstrates broad-spectrum antimicrobial inhibitory activity with reported IC50 values typically ranging from approximately 0 1 to 4 g/mL depending on the bacterial strain and experimental conditions Based on these pharmacological properties Ceftriaxone Sodium Trihydrate holds research potential in microbiological assays including susceptibility testing drug-resistance research and mechanistic studies involving bacterial PBPs
The Fisher Scientific Encompass Program offers items which are not part of our distribution portfolio. These products typically do not have pictures or detailed descriptions. However, we are committed to improving your shopping experience. Please use the form below to provide feedback related to the content on this product.