Learn More
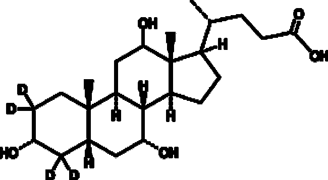
Cayman Chemical CholIc AcId-d4 5mg

Supplier: Cayman Chemical 208495 MG
An internal standard for the quantification of cholic acid by GC- or LC-MS
By clicking Submit, you acknowledge that you may be contacted by Fisher Scientific in regards to the feedback you have provided in this form. We will not share your information for any other purposes. All contact information provided shall also be maintained in accordance with our Privacy Policy.