Learn More
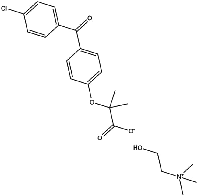
Apexbio Technology LLC Choline Fenofibrate 50mg

Supplier: Apexbio Technology LLC A330850
A3308 is a small molecule designed for biomedical research applications though detailed structural and registry data are currently unavailable Its mechanism of action centers on modulating specific cellular pathways enabling the investigation of signaling events critical to various physiological and pathological processes A3308 s utility is primarily as a research tool to elucidate molecular targets and cellular responses supporting studies in signal transduction pathway characterization and potential therapeutic target identification
By clicking Submit, you acknowledge that you may be contacted by Fisher Scientific in regards to the feedback you have provided in this form. We will not share your information for any other purposes. All contact information provided shall also be maintained in accordance with our Privacy Policy.