Learn More
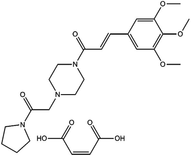
Apexbio Technology LLC Cinepazide maleate 26328-04-1 50mg

Supplier: Apexbio Technology LLC B191150

Cinepazide maleate (CAS 26328-04-1) is the maleate salt of cinepazide classified as a vasodilatory agent It exerts its effects primarily through inhibition of calcium influx in vascular smooth muscle cells leading to vessel relaxation and increased blood flow This mechanism is associated with reduced peripheral resistance and enhanced microcirculation Cinepazide maleate has been utilized in research exploring vascular tone modulation cerebral blood flow and ischemia models providing a tool for investigating mechanisms of vasodilation and circulatory disorders in preclinical settings
The Fisher Scientific Encompass Program offers items which are not part of our distribution portfolio. These products typically do not have pictures or detailed descriptions. However, we are committed to improving your shopping experience. Please use the form below to provide feedback related to the content on this product.