Learn More
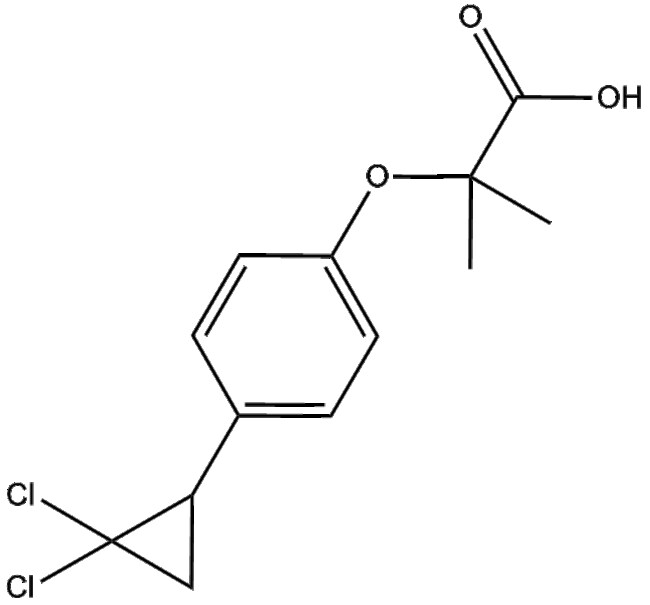
Apexbio Technology LLC Ciprofibrate 52214-84-3 10mM (in 1mL DMSO)

Supplier: Apexbio Technology LLC A43065.1
Ciprofibrate is a selective agonist targeting peroxisome proliferator-activated receptor alpha (PPAR ) a nuclear receptor involved in regulating lipid metabolism and energy homeostasis Its activation promotes gene expression linked to fatty acid oxidation triglyceride reduction and cholesterol metabolism Ciprofibrate is frequently applied as a molecular tool in biomedical research to investigate mechanisms underlying dyslipidemia atherosclerosis and metabolic-related disorders Additionally due to its receptor-specific mode of action it serves as a standard experimental reference in in vitro assays and animal models assessing lipid-lowering therapeutic strategies and PPAR -dependent signaling pathways
By clicking Submit, you acknowledge that you may be contacted by Fisher Scientific in regards to the feedback you have provided in this form. We will not share your information for any other purposes. All contact information provided shall also be maintained in accordance with our Privacy Policy.