Learn More
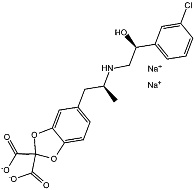
Apexbio Technology LLC CL 316243 disodium salt 151126-84-0 5mg

Supplier: Apexbio Technology LLC B67665
CL 316243 disodium salt is a small-molecule agonist targeting the 3-adrenergic receptor It is designed to activate 3 receptors thereby modulating lipolytic and thermogenic pathways predominantly in adipose tissues CL 316243 disodium salt exerts its biological activity by selectively binding to 3-adrenergic receptors leading to enhanced adipocyte-mediated lipid metabolism In experimental rodent models administration of CL 316243 increases insulin sensitivity and reduces obesity-related hyperglycemia by promoting glucose uptake primarily in adipose tissue Based on these pharmacological properties CL 316243 disodium salt holds research potential in the study of 3 receptor-mediated metabolic mechanisms and the exploration of therapeutic strategies for metabolic disorders such as obesity and type 2 diabetes
By clicking Submit, you acknowledge that you may be contacted by Fisher Scientific in regards to the feedback you have provided in this form. We will not share your information for any other purposes. All contact information provided shall also be maintained in accordance with our Privacy Policy.