Learn More
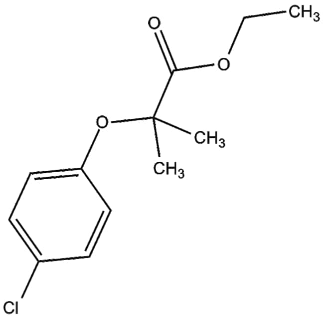
Apexbio Technology LLC Clofibrate 637-07-0 10g

Supplier: Apexbio Technology LLC B361010000
Clofibrate (CAS 637-07-0) is a small-molecule agonist targeting peroxisome proliferator-activated receptor alpha (PPAR-alpha) It is designed to activate PPAR-alpha thereby regulating lipid and lipoprotein metabolism pathways Clofibrate exerts its biological activity primarily through PPAR-alpha activation leading to enhanced peroxisome proliferation and fatty acid oxidation In both human and mouse models Clofibrate demonstrates agonist activity with EC50 values of 55 M and 500 M respectively Based on these pharmacological properties Clofibrate holds research potential in investigating lipid metabolism triglyceride regulation and the roles of PPAR-alpha signaling in hyperlipidemia and related metabolic disorders
By clicking Submit, you acknowledge that you may be contacted by Fisher Scientific in regards to the feedback you have provided in this form. We will not share your information for any other purposes. All contact information provided shall also be maintained in accordance with our Privacy Policy.