Learn More
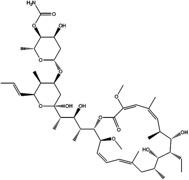
Apexbio Technology LLC Concanamycin A(Synonyms: Folimycin, Concanamycin-A, ConcanamycinA, Concanamycin A (Folimycin), Folimycins), 1mg, CAS: 80890-47-7.

Supplier: Apexbio Technology LLC A86331
Concanamycin A (CAS 80890-47-7) is a selective inhibitor of vacuolar-type ATPase (V-ATPase) displaying an IC50 of approximately 10 nM Its mechanism involves direct binding to the V(o) subunit c of V-ATPase thereby inhibiting proton transport across cell membranes Through blockade of V-ATPase activity concanamycin A inhibits endosomal acidification disrupts intracellular trafficking processes and interferes with extracellular matrix pH maintenance resulting in apoptosis induction in tumor cells including oral squamous cell carcinoma and prostate cancer lines and reduced tumor cell invasiveness It is employed extensively in cancer biology research to investigate V-ATPase-mediated pathways and explore therapeutic resistance mechanisms
By clicking Submit, you acknowledge that you may be contacted by Fisher Scientific in regards to the feedback you have provided in this form. We will not share your information for any other purposes. All contact information provided shall also be maintained in accordance with our Privacy Policy.