Learn More
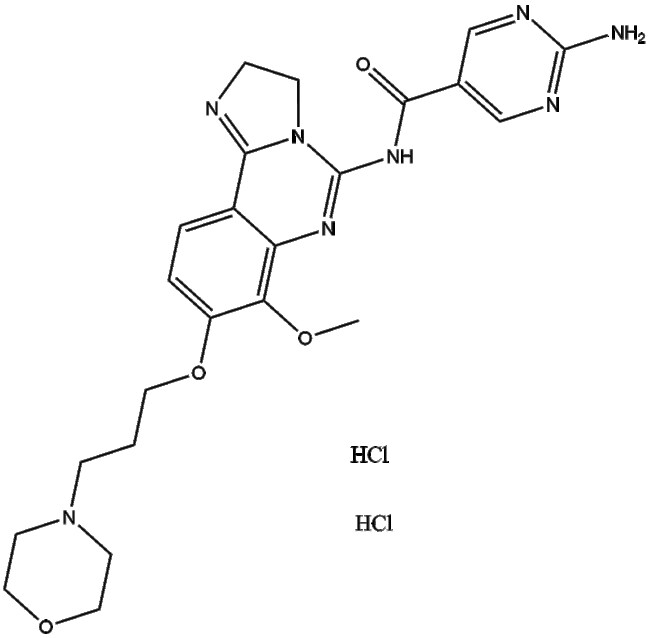
Apexbio Technology LLC Copanlisib dihydrochloride 1402152-13-9 50mg

Supplier: Apexbio Technology LLC A992650
Copanlisib dihydrochloride (CAS 1402152-13-9) is a small-molecule inhibitor that selectively targets phosphoinositide 3-kinase (PI3K) isoforms and By inhibiting these PI3K subunits copanlisib disrupts PI3K/AKT signaling pathways that regulate cellular proliferation and survival leading to reduced tumor cell growth and induction of apoptosis This compound is utilized in biomedical research to investigate PI3K-mediated oncogenic processes particularly in studies related to relapsed or refractory follicular lymphoma and other hematologic malignancies dependent on aberrant PI3K activity
By clicking Submit, you acknowledge that you may be contacted by Fisher Scientific in regards to the feedback you have provided in this form. We will not share your information for any other purposes. All contact information provided shall also be maintained in accordance with our Privacy Policy.