Learn More
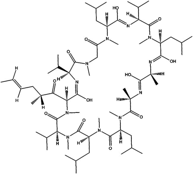
Apexbio Technology LLC Cyclosporin D 63775-96-2 5mg

Supplier: Apexbio Technology LLC B59155
Cyclosporin D (CAS 63775-96-2) is a structural analogue of Cyclosporin A with comparatively reduced immunosuppressive activity Mechanistically it weakly inhibits lymphocyte proliferation induced by mitogens such as PHA PWM PMA and Ca 2 and suppresses Ca 2 /calmodulin-dependent phosphorylation of elongation factor 2 (EF-2) in mouse pancreatic cells In preclinical models Cyclosporin D overcomes Adriamycin resistance in multidrug-resistant ovarian cancer cells and inhibits TPA-induced ear edema and alkaline phosphatase activity in mice Additionally it displays inhibitory effects on the growth of malarial parasites both in vitro and in vivo Cyclosporin D serves as a standard in Cyclosporin A quantification and as a research tool in immunology oncology and antiparasitic studies
By clicking Submit, you acknowledge that you may be contacted by Fisher Scientific in regards to the feedback you have provided in this form. We will not share your information for any other purposes. All contact information provided shall also be maintained in accordance with our Privacy Policy.