Learn More
Cayman Chemical DavuntIdeacetate 10mg

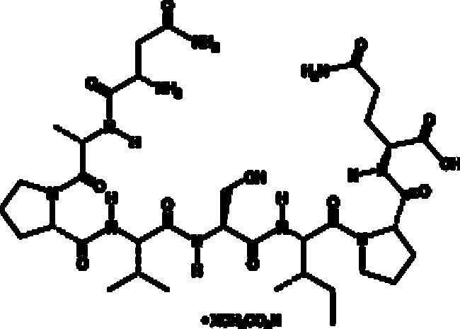
Supplier: Cayman Chemical 3548710 MG
A neuroprotective ADNP-derived peptide; promotes tubulin assembly in a cell-free assay at 1 fM; protects against cytotoxicity induced by tetrodotoxin, a peptide derived from Aβ, or zinc in isolated neonatal cerebral cortical cells at 1 fM; intravitreal administration inhibits increases in cleaved caspase-3 and decreases in Bcl-2 in retina isolated from streptozotocin-induced diabetic rats; improves survival in a SOD1G93A transgenic mouse model of ALS at 10 UG/animal; prevents decreases in brain ChAT activity and prevents memory deficits in the Morris water maze in an Apoe-/- mouse model of neurodegeneration
The Fisher Scientific Encompass Program offers items which are not part of our distribution portfolio. These products typically do not have pictures or detailed descriptions. However, we are committed to improving your shopping experience. Please use the form below to provide feedback related to the content on this product.