Learn More
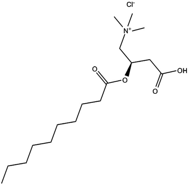
Apexbio Technology LLC (±)-Decanoylcarnitine chloride 14919-36-9 50mg

Supplier: Apexbio Technology LLC B631550
racemic Baclofen -Decanoylcarnitine chloride is a small-molecule modulator targeting cholinergic systems by engaging acetylcholine receptors including nicotinic and muscarinic subtypes It is designed to influence neurotransmission and lipid metabolism racemic Baclofen -Decanoylcarnitine chloride exerts its biological activity primarily through modulation of acetylcholine receptors and inhibition of -aminobutyric acid (GABA) receptor activity thereby attenuating GABA-mediated inhibitory synaptic currents In neuronal cells and cardiac models such acylcarnitine derivatives demonstrate antiarrhythmic properties post-ischemic insult and modulation of pain signaling involving the phospholipase C-inositol triphosphate pathway Based on these pharmacological properties racemic Baclofen -Decanoylcarnitine chloride holds research potential in cardiac arrhythmia and pain modulation applications
By clicking Submit, you acknowledge that you may be contacted by Fisher Scientific in regards to the feedback you have provided in this form. We will not share your information for any other purposes. All contact information provided shall also be maintained in accordance with our Privacy Policy.