Learn More
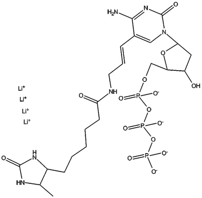
Apexbio Technology LLC Desthiobiotin-6-dCTP 200ul (5 mM)

Supplier: Apexbio Technology LLC B81560.2
Desthiobiotin-6-dCTP is a modified deoxycytidine triphosphate derivative featuring a desthiobiotin moiety attached via a hexyl linker to the cytosine base It is designed to be efficiently incorporated into nucleic acids by DNA polymerases during enzymatic synthesis thereby enabling subsequent detection or isolation through streptavidin or anti-biotin antibody binding Based on these properties Desthiobiotin-6-dCTP holds research potential in nucleic acid probe labeling in situ hybridization assays genetic testing nucleic acid purification and other molecular biology research applications
By clicking Submit, you acknowledge that you may be contacted by Fisher Scientific in regards to the feedback you have provided in this form. We will not share your information for any other purposes. All contact information provided shall also be maintained in accordance with our Privacy Policy.