Learn More
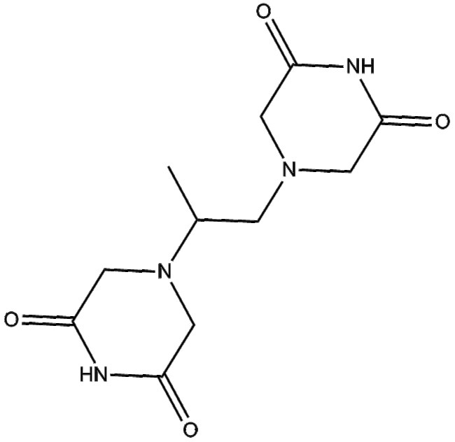
Apexbio Technology LLC Dexrazoxane 24584-09-6 100mg

Supplier: Apexbio Technology LLC B3407100
Dexrazoxane is a cell-permeable iron chelator that suppresses intracellular superoxide radical generation via iron sequestration thereby exhibiting antioxidant activity Dexrazoxane exerts its biological effects primarily by modulating oxidative stress and ferroptosis pathways In cell-based studies including myocardial H9c2 cell models dexrazoxane inhibits ferroptosis by suppressing the HMGB1 pathway and induces DNA damage and apoptosis in various tumor cell lines Based on these pharmacological properties dexrazoxane holds research potential in the study of cardioprotective mechanisms tumor-related DNA damage responses ferroptosis and oxidative stress processes
By clicking Submit, you acknowledge that you may be contacted by Fisher Scientific in regards to the feedback you have provided in this form. We will not share your information for any other purposes. All contact information provided shall also be maintained in accordance with our Privacy Policy.