Learn More
Apexbio Technology LLC EPZ015666 1616391-65-1 10mM (in 1mL DMSO)

Supplier: Apexbio Technology LLC B49895.1
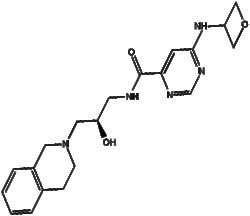
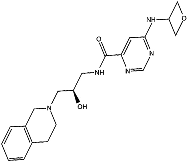
EPZ015666 (CAS 1616391-65-1) is a potent and selective inhibitor of protein arginine methyltransferase 5 (PRMT5) an enzyme implicated in several cellular pathways including tumorigenesis EPZ015666 inhibits PRMT5 with an IC50 of 22 nM and displays a Ki value of approximately 5 nM It exhibits over 20 000-fold selectivity for PRMT5 relative to other protein methyltransferases tested In mantle cell lymphoma (MCL) cell lines treatment with EPZ015666 reduced methylation levels of the PRMT5 substrate SmD3 and exerted concentration-dependent anti-proliferative effects Additionally EPZ015666 demonstrated dose-dependent tumor growth inhibition in mouse xenograft models of MCL highlighting its potential utility as a molecular tool in cancer biology research
By clicking Submit, you acknowledge that you may be contacted by Fisher Scientific in regards to the feedback you have provided in this form. We will not share your information for any other purposes. All contact information provided shall also be maintained in accordance with our Privacy Policy.