Learn More
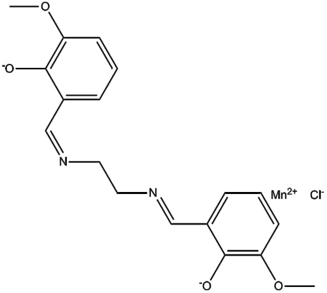
Apexbio Technology LLC EUK 134 81065-76-1 10mM (in 1mL DMSO)

Supplier: Apexbio Technology LLC B13255.1

EUK 134 (CAS 81065-76-1) is a synthetic salen-manganese complex designed to mimic the antioxidant enzymes superoxide dismutase (SOD) and catalase By scavenging reactive oxygen species (ROS) EUK 134 diminishes oxidative stress and attenuates cellular damage In vitro this compound inhibits formation of amyloid fibrils reduces microglial proliferation induced by -amyloid and protects neuronal cells from oxidative injury via inhibition of MAPK signaling In vivo studies indicate that EUK 134 decreases infarct size and neuronal cell death in rodent models of ischemic stroke and kainate-induced neurotoxicity EUK 134 is thus a relevant tool in oxidative stress and neurodegeneration research
The Fisher Scientific Encompass Program offers items which are not part of our distribution portfolio. These products typically do not have pictures or detailed descriptions. However, we are committed to improving your shopping experience. Please use the form below to provide feedback related to the content on this product.